Sortierung:
1. Tücher
2. Kunststricklesezeichen, Ostereier
3. Mützen, Handschuhe
4. Damenbekleidung
5. Herrenbekleidung
6. Kinderbekleidung
7. Haushalt, Taschen und Kuscheltiere
Einige deutsche Anleitungen sind als Pdf-Download verfügbar. Alle anderen sind als jpg gespeichert. Einige Tücher sind zum Kauf als Pdf-Download erhältlich. Nähere Informationen unter Shop / Anfertigungen.
English translations are available for most of the shawl patterns and some others as download.
Dreieckiges Schultertuch mit Knospen:![]() Muster: Anleitung: ![]() ![]() | Dreieckiges Schultertuch mit Ranken (Rankentuch): ![]() Anleitung: ![]() ![]() | Dreieckiges Schultertuch: Aufstrebende Ranken:![]() Anleitung verfügbar als Ravelrydownload . Sie besteht aus drei Teilen. English translation as Ravelrydownload available. |
| Quadratisches Schultertuch: Liegende Ranken: ![]() Anleitung in zwei Teilen als Ravelrydownload verfügbar. English translation as Ravelrydownload available. | Faroesertuch mit Blättern und Blüten![]() Anleitung verfügbar als Pdf-Ravelrydownload. English translation as Ravelrydownload available. | Blumentuch![]() Anleitung als Ravelrydownload verfügbar. English translation as Ravelrydownload available. |
Tuch: Keltische Verknotung![]() ![]() ![]() Anleitung Ravelrydownload als verfügbar. English translation as Ravelrydownload available. | Dreieckiges Schultertuch: Gefüllte Rauten ![]() Anleitung ist als Ravelrydownload verfügbar. Diese Anleitung ist auch in dieser Yahoogruppe als Pdf-Datei verfügbar. There is also an english translation available. English translation as Ravelrydownload available. | Stola mit arabesker Borte und Mitte:![]() Die Anleitung ist als Ravelrydownload verfügbar. English translation as Ravelrydownload available. |
Alhambratuch Preis 8 €![]() ![]() ![]() ![]() Dies ist eine ausführliche Kaufanleitung zum Alhambratuch. The complete pattern is available for sale. The englisch translation ends with engl or englpart.... Kauf über Ravelry buy now | Stola und Fensterbild Sommerwiese Preis 6 €![]() ![]() ![]() Ausführliche Kaufanleitung mit zwei Optionen. Nach der Anleitung lässt sich sowohl ein großes Fensterbild, wie auch eine Stola stricken. The Pattern is available for sale. The englisch translation ends with engl. Kaufen Buy now | Herbstlaubtuch Preis 5 € ![]() ![]() ![]() Ausführliche Kaufanleitung zum Herbstlaubtuch. The english translation of this pattern is also available. The englisch translation ends with engl. Kaufen Buy now |
| Korallentuch Preis 4,50 € ![]() ![]() Ausführliche Kaufanleitung zum Korallentuch. The english translation of this pattern is also available. The englisch translation ends with engl. Kaufen Buy now | Adventskalenderschal 2010![]() Dieser Schal wurde zunächst als Adventskalender veröffentlicht. Die Muster sind von mir und 10 weiteren deutschen Designerinnen. Die Anleitung ist zweisprachig deutsch und englisch. Download | Quadratisches Ringtuch![]() ![]() ![]() Download in Deutsch und Englisch. There is also an english translation available. |
| Alhambra Patio Preis 5 € ![]() ![]() Ausführliche Kaufanleitung There will be also an english translation available. Kaufen Buy now | Horus Preis 6 € ![]() ![]() There is also an english translation available. Kaufen Buy now | Adventskalendertuch 2011 ![]() ![]() Das Tuch wurde in 24 Teilen als Adventskalender veröffentlicht. Die Anleitung ist in deutsch und englisch. Eine portugiesische Übersezung ist auch verfügbar. The pattern is written in german and english. There is also a portuguese translation available. Download |
| Tulpenfeld Tuch Preis: 4,50 € ![]() ![]() Ausführliche Kaufanleitung There is also an english translation available Kaufen Buy now | Stola Ina Preis 4,50 € Ausführliche Kaufanleitung There is also an english translation available Kaufen Buy now | Yin Yang Lochmustertuch Preis 7 € Ausführliche Kaufanleitung There is also an english translation available Kaufen Buy now |
| Virentreffen Tuch Preis 4,50 € Ausführliche Kaufanleitung There is also an english translation available Kaufen Buy now | Paisley Tuch Preis: 6,50 € ausführliche Kaufanleitung There is also an english translation available Kaufen Buy now | Adventskalendertuch 2012/ Advent Calendar Shawl 2012 Das Tuch wurde in 24 Teilen als Teil des Adventskalenders 2012 veröffentlicht. Die Anleitung ist in deutsch und englisch. Download |
| Advenstkalenderstola 2012 / Advent Calendar Stole 2012 Die Stola wurde in 24 Teilen als Adventskalender veröffentlicht. Die Anleitung ist in deutsch und englisch. Download | Kaschmirseidentuch Preis: 5,50 € Ausführliche Kaufanleitung There is also an english translation available. Kaufen Buy now | Tuch: Ungeheuer-lich Preis: 4,50 € Ausführliche Kaufanleitung There is also an english translation available. Kaufen Buy now |
| Tuch: Eulen und Einhorn Preis: 7 € Ausführliche Kaufanleitung There is also an english translation available. Kaufen Buy now | Virustuch Untertitel Schwarzwald Preis: 7 € Ausführliche Kaufanleitung There is also an english translation available. Kaufen Buy now | Tuch: Perlenmuscheln Preis: 4,50 € Ausführliche Kaufanleitung There is also an english translation available. Kaufen Buy now |
| Stola: Eisblumen für Ina Preis: 4,50 € Ausführliche Kaufanleitung There is also an english translation available. Kaufen Buy now | Tuch: Begeisternde Wanderdünen Preis: 6 € Ausführliche Kaufanleitung There is also an english translation available. Kaufen Buy now | Tuch: Archaische Borten Preis 6,50 € Ausführliche Kaufanleitung There is also an english translation available. Kaufen Buy now |
Blumenlesezeichen![]() Anleitung als Ravelrydownload verfügbar. English translation as Ravelrydownload available. | Kunststrick- lesezeichen: ![]() Anleitung als Ravelrydownload verfügbar. English translation as Ravelrydownload available. | kunstgestricktes Glockenblumen- Lesezeichen: ![]() Anleitung als Ravelrydownload verfügbar. English translation as Ravelrydownload available. |
Katzenlesezeichen:![]() Anleitung als Ravelrydownload verfügbar. English translation as Ravelrydownload available. | ||
| Kunstgestrickte Ostereier und Weihnachtskugeln | 1. Osterei![]() Anleitung als Ravelrydownload verfügbar. English translation as Ravelrydownload available. | 2. Osterei![]() Anleitung als Ravelrydownload verfügbar. English translation as Ravelrydownload available. |
Ei im Herznetz![]() Pdf-Ravelrydownload | Häschen-Ei![]() Pdf-Ravelrydownload | Weihnachtskugel mit Engeln![]() Ravelrydownload |
Mütze mit Rollrand:![]() Anleitung: ![]() | Mütze aus Mohair mit Lochmuster:![]() Anleitung: ![]() | Mütze mit Ohrenwärmern:![]() Anleitung als Ravelrydownload verfügbar. English translation as Ravelrydownload available. |
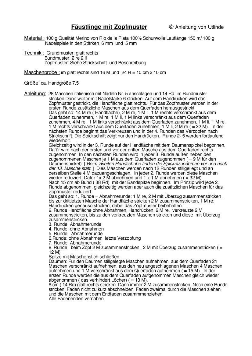
Fäustlinge mit Zopfmuster:![]() Anleitung: ![]() ![]() | Handschuhe mit Doppelstricklochmuster Größe 7 mit Angaben zu größeren Größen![]() Anleitung: ![]() ![]() Seite 3 ( Angaben zu größeren Größen) | Cuscoja Handschuhe in Größe 6,5 -7; 7,5 und 8 Der zweite Handschuh ist spiegelbildlich. Preis 3,50 € Ravelrykauf The pattern is also as english translation available. |
Seidenpullunder Gr. 40/42:![]() Anleitung: Download | Sommertop mit Lochmuster:![]() Anleitung: Download | Lochmustertop aus AlpacaLace:![]() Anleitung: Download |
Jacke aus Cable Gr. 42/44:![]() Anleitung: ![]() | Alpakamantel mit Zöpfen Gr. 42![]() ![]() Anleitung: ![]() ![]() Seite 2 | Godetrock Filigran Gr 42/44 mit Angaben zur Größenänderung 3 € ![]() Ravelrykauf |
Damenpullover Gr. 48: Mit verkürzten Reihen im Brustbereich und Armkugel von oben direkt eingestrickt.![]() Anleitung: ![]() ![]() | Doppelstrickjacke mit Maorimuster Gr 42/44 6 € ![]() ![]() ![]() ![]() Ravelrykauf | Godetrock aus Wollmeise Gr 42/44 mit Angaben zur Größenänderung 3 € ![]() ![]() Ravelrykauf |
Kurzarmpullover aus Shinan Gr. 42![]() Anleitung: kostenloser Download | Pullover Vamppu Gr 42 aus Wollmeise 100% Anleitung: kostenloser Download | Vampla Kleid Kleid aus Wollmeise Lace-Garn ![]() Anleitung: Kostenloser Download |
| | ||
Arabesker Seidenschal:![]() ![]() Anleitung als Ravelrydownload verfügbar. English translation as Ravelrydownload available. | Schal mit Ärmeln:![]() Anleitung: ![]() ![]() | Lochflechtenschal aus nur einem Knäuel Sensai von Ito![]() Download in deutsch and english |
| Herrenpullover aus Merino: Herrenpullover Gr. 54: ![]() Schnitt: Anleitung: ![]() ![]() | Zweifarbige Herrenjacke Gr. 52![]() Anleitung: ![]() ![]() | Herrenjacke Größe 52: Diese Jacke hat nur Schulternähte. Die Ärmel sind mit Armkugel von oben direkt eingestrickt.![]() Anleitung: ![]() ![]() |
| Herrenpullunder aus Limosine Gr 52: Download | ||
| Kinderpullunder aus Boston Kinderpullunder Gr. 140: ![]() Schnitt: Anleitung: ![]() ![]() | Babystiefel ohne Naht mit eingestrickten Nahtlinien![]() Anleitung Seite 1 : ![]() ![]() Seite 3( Legende) | |
| Douleface-Topflappen mit Initialen | Vorderseite: Rückseite: Anleitung: Zählmuster: ![]() ![]() | Vorderseite:Rückseite: Anleitung:Zählmuster: ![]() ![]() |
| Kindlehülle Preis 2,50 € Kaufanleitung mit zwei Optionen für eine doppelgestrickte Kindlehülle bzw. E-Book-Reader Hülle There is also an english translation available Kaufen Buy now | Entrelacfilztasche mit Deckel und Reißverschluss![]() Anleitung: ![]() ![]() | Delfin: Kaufanleitung 2 € Download Ein großer Teil des Erlöses soll zugunsten der Delfintherapie von Larissa Löllgen gespendet werden, für die ich auch die gezeigten Exemplare gestrickt habe. |
Kleine Eule:![]() Anleitung Seite 1: ![]() Seite 2 Seite 3 |
Nach oben
Bitte schicken Sie mir ein Bild, wenn Sie eine Arbeit nach meiner Anleitung gemacht haben. Ich werde sie dann in die Gästegalerie einfügen.
Sollten irgendwelche Unklarheiten bei der Benutzung der Anleitungen auftreten, bitte ich Sie mit mir Kontakt aufzunehmen.














































































































